Paper Reading - CLIPN for Zero-Shot OOD Detection——Teaching CLIP to Say No
Image credit: UnsplashCLIPN for Zero-Shot OOD Detection: Teaching CLIP to Say No
Abstract
本文提出了一种新颖的方法,即让CLIP 说“不”(CLIPN),它增强了 CLIP 中说“不”的逻辑。
主要动机是让 CLIP 具备使用肯定语义提示和否定语义提示区分 OOD 和 ID 样本的能力。具体来说,我们设计了一种新颖的可学习的**“不”提示和一个“不”文本编码器来捕获图像中的否定语义。随后,我们引入了两个损失函数:图像文本二元相反损失和文本语义相反损失**,我们用它们来教 CLIPN 将图像与**“否”提示**关联起来,从而使其能够识别未知样本。
此外,我们提出了两种无阈值推理算法,通过利用“否”提示和文本编码器的否定语义来执行 OOD 检测。
OOD 检测任务的 9 个基准数据集(3 个 ID 数据集和 6 个 OOD 数据集)上的实验结果表明,基于 ViT-B-16 的 CLIPN 在 AUROC 方面优于 7 个常用算法至少 2.34% 和 11.64% FPR95 用于 ImageNet-1K 上的零样本 OOD 检测。我们的 CLIPN 可以为在下游 OOD 任务中有效利用 CLIP 奠定坚实的基础。
Introduction
背景工作这里就提一下文章说到MCM的不足:该方法仍然忽视了处理难以区分 OOD 样本的挑战,并且性能有限。与 ZOC和 MCM不同,本文尝试利用 CLIP 中的开放世界知识直接识别一些难以区分的 OOD 样本,即使它们的 ID 度很高(很像ID的样本)。
如图所示的玩具示例。如图2(a)所示,给定狗图像和猫图像,我们设计四组提示。
两组包含类别提示:with/of/…/having the photos of the dog or cat,
另外两组则使用**“否”提示**:a photo without/not of/…/not having the dog or cat.
我们在 CLIP 上做了一个实验,用四个提示来匹配图像。不幸的是,结果表明CLIP未能准确匹配图像,这意味着它缺乏“不”逻辑;
如图 2 (b) 中的玩具可视化和图 6 中的定性可视化所示。

因此,为了在 CLIP 中赋予**“不”逻辑**,本文提出了一种新的 CLIP 架构,称为 CLIP 说“不”(CLIPN)。从三个方面对CLIP在OOD检测方面进行了升级。
架构。 在CLIP 中添加了新的“否”提示和“否”文本编码器。我们新颖的可学习“不”提示在提示中集成了否定语义,补充了原始 CLIP 的提示。此外,我们的“不”文本编码器捕获图像相应的否定语义,使 CLIP 说“不”成为可能。
训练损失。我们进一步提出两个损失函数。第一个是图像-文本二元相反损失,它使图像特征与正确的“否”提示特征相匹配。换句话说,它可以教会 CLIP 何时说“不”。第二个是文本语义相反的损失,这使得标准提示和“否”提示嵌入得彼此相距甚远。换句话说,它可以教会 CLIP 理解“否”提示的含义。
无阈值推理算法。经过 CLIPN 的训练后,我们设计了两种无阈值算法:competing-to-win 和 agreeingto-differ。competing-to-win的目标是从标准的和“否”文本编码器中选择最置信的概率作为最终预测。同时,通过考虑标准和“无”文本编码器的预测,agreeingto-differ会为 OOD 类别生成额外的概率。
9 个基准数据集(3 个 ID 数据集和 6 个 OOD 数据集)的实验结果表明,我们的 CLIPN 优于现有方法。
Methodology
CLIP-based OOD detection
简要回顾一下如何执行零样本 OOD 检测:
CLIP的图像编码器用于提取图像特征。
尽管 CLIP 中没有分类器,但我们可以使用 ID 类的名称来构建文本输入(例如,“a photo of the dog”)。从文本编码器获取文本特征作为分类权重,其功能与分类器发挥相同的作用。
以最大softmax概率(MSP)算法为例,我们可以根据图像特征和类别权重计算MSP。如果 MSP 小于预定义的阈值,则图像将被视为 OOD,反之亦然。
Overview
**架构。**如图 3 所示,CLIPN 建立在预训练的 CLIP 之上,由三个模块组成:
- 图像编码器:$\phi$。 CLIPN的图像编码器保持与预训练CLIP的图像编码器相同的结构和参数。在本文中,ViT-B [6]和ViT-L [6]分别被部署来实例化φ,φ的参数冻结。
- 文本编码器:$\psi$。 CLIPN的文本编码器ψ与预训练CLIP的文本编码器保持相同的结构和参数。 ψ 的输入也保持不变,即描述一个图像的标准文本(例如,“a photo with/of/…”)。
- “否”文本编码器:${\psi}^{no}$。它由预训练 CLIP 的文本编码器初始化。但与$\psi$不同的是,$\psi$ 为不可学习的。 ${\psi}^{no}$的输入是一个负文本,用相反的语义描述一幅图像。(换句话说,$\psi$ 不用训练。 ${\psi}^{no}$需要训练)
此外,本文从 OpenCLIP [16] 访问预先训练的 CLIP。在本文中,我们使用两种预训练模型,包括基于 ViT-B 的 CLIP 和使用 Laion-2B 数据集预训练的 ViT-L

预训练 CLIPN。
- 设计了一种新颖的“no”提示策略,将具有否定逻辑的文本描述引入 ${\psi}^{no}$。
- 基于上述相反语义的思想,提出了图像-文本二元相反损失和文本语义相反损失,让 CLIPN 学习何时以及如何将图像与两种类型的文本对齐。
推理。
在推理阶段进一步提出了两种新颖的无阈值算法来确定输入图像是否 OOD。
- 竞争获胜算法:首先使用标准文本和输入图像来预测属于 ID 类别的概率。然后利用概率最高的类别的“否”文本来确定ID预测是否正确。
- 接受差异算法:我们使用“no”文本来缩小 ID 概率并生成 OOD 类的新概率。如果 OOD 概率最高,则输入图像将被判断为 OOD。
Prompt Design
在原始的CLIP中,图像是按照正逻辑来描述的,即文本内容与图像内容在语义上是一致的。
我们试图补充一种否定逻辑,即文本内容与图像内容在语义上是否定的。为此,我们定义了一系列“不”提示来补充原文。表示一幅图像 $x$ 的文本为 $t$,“否”提示池定义为 :
${pool}_{no}(t)$ = {“a photo without {$t$}”, “a photo not appearing {$t$}”, …, “a photo not containing {$t$}”}
其中有L个人工制作的“否”提示,该提示池是在“Better vision-language models with feature adapters”这篇文章的基础上构建的,并用否定关键字进行了修改。
在训练过程中,给定输入文本 $t$,我们从${pool}{no}$中随机选择一个“no”提示来生成具有“no”逻辑的文本 $t{no}$。接下来,使用token嵌入层 $ρ$ 将“否”文本嵌入为一组token特征向量 $ρ(t_{no})$,这是“否”文本编码器的输入token。
此外,受"Conditional prompt learning for vision-language models"的启发,设计了可学习的“no”提示。我们替换掉否定关键词(如,“a photo without “)为一些可学习的参数 σ 来表示否定语义的token特征,并与特征空间中 t 的token特征相结合。
Training Loss Design

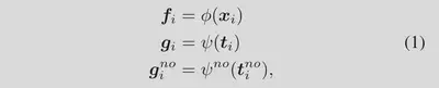
Mini-Batch: $\mathcal{B}=\left\{\left(\boldsymbol{x}_{i}, \boldsymbol{t}_{i}, \boldsymbol{t}_{i}^{n o}\right)\right\}_{i=1}^{N} \in \mathbb{D}_{c l i p}$
编码:
两个损失函数:
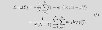
图像-文本二元相反损失(ITBO)
该损失函数帮助模型将图像特征与正确的“否”文本特征进行匹配。
具体来说,我们定义图像和“否”文本之间的两种关系:(1)匹配但不相关(即“否”文本不是错误的描述,但在语义上与图像无关); (2) 反向匹配(即“no”文本与图像具有相反的语义),如图 4 所示。因此,第 i 个图像和第 j 个“否”文本之间的匹配度 $m({\boldsymbol{x}}_i,{\boldsymbol{t}}_j^{no})$定义如下:

=0为反向匹配,=1位匹配但不相关。CLIPN的目标是在特征空间让图像与“no”文本匹配:

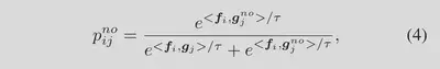
$p_{ij}^{no}$表示第 i 个图像和第 j 个“no”文本之间的匹配概率:

<,>表示两个向量的内积,$τ$是可学习的温度系数。
文本语义相反损失(TSO)
“no”提示使$t_i$和$t_i^{no}$在语义上相反,因此,特征空间的$g_i$和$g_i^{no}$也应该彼此远离。因此, $\mathcal{L}_{tso}$ 定义为:

其中 $∥∥_2$ 是 L2 距离函数。当所有$g_i$和$g_i^{no}$对嵌入到特征空间中的相反方向时,$\mathcal{L}_{tso}$ 将减小到 0。
一个mini-batch的总损失通过将上述两个损失值相加来计算: $\mathcal{L}_{B}=\mathcal{L}_{itbo}+\mathcal{L}_{tso}$ 。
Inference algorithm of CLIPN
CLIPN 部署到测试数据集执行零样本 OOD 检测任务时,只需要所有的类名。对于包含 $C$ 个ID 类别的任务,如图 3 所示,每个类的名称被输入到标准文本和“no”文本中,然后输入到$\psi$ 和 ${\psi}^{no}$中。实际上,我们在Sec.3.3节中介绍了提示池,将所有文本特征加起来,那么ID类概率可以表示为:

$p_{ij}$表示输入图像$x_i$属于第 j 类的预测概率。$x_i$与第j个“no”文本匹配的概率通过公式4计算。接下来提出两种新颖的无阈值算法来确定$x_i$是否为 OOD。
- 竞争获胜算法(CTW)。受MSP启发,找到具有最大 ID 概率的类。然后我们比较$p^{no}$和$p^{yes}$(即$1 − p^{no}$)的值以确定$x_i$是否为 OOD(或 ID),表示如下:

- **接受差异算法(ATD)。**尽管如此,上述策略还是有些激进。在某些难以区分的情况下会失败(例如,最大 ID 概率并不明显高于其他概率,即OOD和某几个ID类都很像)。为了使决策更加灵活,我们提出了另一种算法,称为接受差异(ATD),以考虑所有 ID 概率和 $p^{no}$。它可以将 C 类概率重新表示为 (C + 1) 类概率,创建一个未知类,其概率定义为:

OOD样本通过以下形式检测到:如果未知类的概率 $p_{C+1}$ 大于所有 ID 概率,则输入图像将被检测为 OOD。否则判定为ID。

Limitations
我们的方法的一个局限性是缺乏对其扩展到 OOD 分割或检测任务的清晰演示。
另一个局限是其在医学和卫星图像等专门数据集中的 OOD 分类有效性的不确定性。
这主要是因为我们的模型基于 CLIP,并且其在专业数据集中的有效性尚未得到充分探索。